Tóm tắt
Trong những năm gần đây với sự phát triển không ngừng của lĩnh vực công nghệ thông tin và viễn thông, rất nhiều chủng loại thiết bị đã ra đời và ứng dụng vào đời sống. Để đáp ứng nhu cầu quản lý chất lượng sản phẩm, đảm bảo các thiết bị hoạt động bình thường trong môi trường điện từ trường đồng thời không gây ảnh hưởng có hại tới thiết bị và môi trường xung quanh, Cục Tần số vô tuyến điện đã xây dựng phòng đo kiểm tương thích điện từ trường (EMC) 3m theo các tiêu chuẩn quốc tế để đo kiểm, đánh giá các sản phẩm trước khi đưa vào sử dụng. Đây là hệ thống hiện đại, đáp ứng hoàn toàn các tiêu chuẩn, quy chuẩn Việt Nam và thế giới về đo kiểm tương thích điện từ trường cho thiết bị viễn thông và công nghệ thông tin. Trong hệ thống đo kiểm EMC, phòng đo là công cụ không thể thiếu để tạo môi trường đo kiểm phù hợp và cũng là công cụ có giá thành lớn. Trong các phép đo về bức xạ vô tuyến, phòng đo tương thích điện từ trường là phòng đo bán phản xạ (semi anechoic chamber - SAC), có bề mặt tường và trần phòng đo được phủ các vật liệu hấp thụ, còn sàn phòng đo là mặt phản xạ. Nhằm tận dụng hệ thống phòng đo và thiết bị đo, mở rộng năng lực đo kiểm trong nước, nhóm tác giả đã nghiên cứu và đề xuất phương án bổ sung thêm các vật liệu hấp thụ ở các khu vực nhất định trong phòng đo để tạo môi trường đo kiểm tương tự với môi trường đo kiểm trong phòng không dội (fully anechoic chamber - FAC) áp dụng trong việc đo giản đồ bức xạ anten.
I. Đặt vấn đề
Phòng đo tương thích điện từ trường là phòng đo dạng bán phản xạ - SAC. Mục đích sử dụng chính của phòng là đo kiểm chất lượng EMC các sản phẩm điện, điện tử, công nghệ thông tin và viễn thông,… theo các tiêu chuẩn, qui chuẩn kỹ thuật quốc gia và quốc tế. Đây là công cụ có giá thành rất lớn, chính vì vậy, một trong những mục tiêu của người sử dụng là tận dụng để đo được nhiều chủng loại thiết bị, tuân thủ nhiều tiêu chuẩn đo khác nhau. Với điều kiện hiện nay ở trong nước chưa có các phòng đo, bãi đo kiểm đáp ứng đủ điều kiện để đo kiểm anten – một thành phần quan trọng, không thể thiếu trong mọi hệ thống thông tin vô tuyến, nhóm nghiên cứu đề xuất phương án sử dụng phòng đo EMC 3m để đo giản đồ bức xạ của anten.
Hệ thống thiết bị và phòng đo dùng trong Báo cáo này là hệ thống đo EMC tại Cục Tần số vô tuyến điện, Bộ Thông tin và Truyền thông. Phòng đo có các thông số cơ bản: Kích thước bên trong 8m x 4.8m x 5.2m, dải tần số hoạt động từ 9 kHz - 18 GHz, khoảng cách đo 3m. Phòng đo tuân thủ đầy đủ các tiêu chuẩn về thiết kế phòng bán phản xạ:
- Tiêu chuẩn về cách ly (Shielding): EN 50147-1
- Suy hao theo vị trí chuẩn hóa (Nomalized Site Attenuation - NSA): EN 50147-2
- Đồng nhất trường (Field Uniformity): EN 61000-4-3
Hệ thống thiết bị đo tuân thủ hoàn toàn các tiêu chuẩn quốc tế đo EMC, bức xạ điện từ trường CISPR 16-1-1.
II. Thiết lập phòng đo giản đồ bức xạ anten
Phòng đo sử dụng trong đo giản đồ bức xạ của anten là phòng không dội FAC. Mục tiêu của việc thiết lập phòng đo là bổ sung thêm các vật liệu hấp thụ tại các vị trí nhất định trên sàn của phòng SAC để có được môi trường đo kiểm như của phòng đo không dội FAC. Để môi trường đo kiểm trong phòng đo đáp ứng yêu cầu của phòng đo không dội, sau khi thiết lập, phòng đo cần đạt được các thông số thỏa mãn tiêu chuẩn sau:
|
Thông số
|
Tiêu chuẩn áp dụng
|
|
Độ cách ly (Shielding)
|
EN 50147-1
|
|
Suy hao theo vị trí chuẩn hóa (NSA) đối với tần số < 1 GHz
|
ETSI TS 102 321
|
|
Tỷ số điện áp sóng đứng (Site VSWR) đối với tần số > 1 GHz
|
CISPR 16-1-4
|
|
Đồng nhất trường (FU)
|
EN 61000-4-3
|
Trong các thông số trên thì độ cách li, tỷ số điện áp sóng đứng vị trí và độ đồng nhất trường không thay đổi so với cấu hình phòng SAC ban đầu và đã tuân thủ hoàn toàn các tiêu chuẩn liên quan. Như vậy, sau khi thiết lập, thông số cần phải đo kiểm là suy hao theo vị trí chuẩn hóa NSA với các tần số < 1 GHz theo tiêu chuẩn ETSI TS 102 321.
- Cấu hình phòng đo EMC 3m thành phòng đo không dội

- Sử dụng vật liệu hấp thụ TDK IB-017 và TDK IP-045C đặt lên mặt sàn trong khoảng giữa anten phát và anten thu cho phép đo ở tần số < 1 GHz (16 tấm hấp thụ ferrite và 16 tấm hấp thụ hình nêm, bố trí theo dạng 4x4).
- Sử dụng vật liệu hấp thụ TDK IS-030A đặt lên mặt sàn trong khoảng giữa anten phát và anten thu cho phép đo ở tần số > 1 GHz (16 tấm hấp thụ hình nêm, bố trí theo dạng 4x4).
- Tiến hành đo NSA theo tiêu chuẩn của phòng không dội, xác định không gian đo kiểm tối ưu
- Thủ tục đo kiểm tra NSA được thực hiện theo tiêu chuẩn ETSI TS 102 321, ở dải tần 150 MHz < f < 1 GHz.
- Các anten được sử dụng là anten loga chu kỳ VULP 9118-B và anten hình nón kép UBBA 9115 đều là các anten đã được hiệu chuẩn tham số antenna factor (AF).
- Tiến hành phép đo đối với điểm đặt anten ở độ cao lần lượt từ 1.50m đến 2.80m (với bước nhảy 5cm) tại tâm bàn xoay và hai điểm ±0.7m. Các phép đo chỉ ra rằng tại điểm đặt anten có độ cao h = 1.65m, giá trị trung bình NSA là nhỏ nhất. Ngoài ra, từ độ cao 2.40m trở lên, giá trị NSA > 4 dB ở tần số 160 MHz.
- Đồ thị hình 3 và hình 4 biễu diễn kết quả đo NSA đối với hai phân cực đứng và ngang của anten ở độ cao h = 1.65m. Kết quả các phép đo chỉ ra rằng tất cả các điểm tần số đều có giá trị NSA < 4 dB tuân thủ theo tiêu chí đánh giá trong tiêu chuẩn ETSI 102 321 cũng như các tiêu chuẩn tương đương đối với phòng không dội.

- Kết luận: Với cách bố trí như trên, phòng đo tuân thủ đầy đủ các chỉ tiêu đánh giá về phòng không dội, đủ điều kiện để đo giản đồ bức xạ của anten. Kết quả khảo sát không gian đo kiểm tối ưu với bước nhảy 5cm xác định được độ cao tối ưu đặt anten cần đo kiểm là 165cm tính từ mặt sàn.
III. Xác định giới hạn đo của phòng đối với anten cần đo (AUT)
Phương pháp đo kiểm được nghiên cứu áp dụng để đo giản đồ bức xạ anten trong miền trường xa (far-field region), chính vì vậy một trong những điều kiện cần thỏa mãn là cả anten đo kiểm (anten chuẩn) và AUT cần phải được đặt trong miền trường xa của anten còn lại.
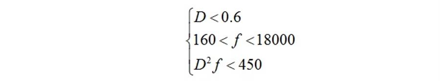
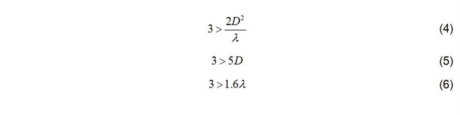
Ký hiệu là giới hạn giữa miền trường gần và trường xa của anten, là kích thước lớn nhất của các anten đo kiểm và AUT, là bước sóng hoạt động. Theo [2], giới hạn về khoảng cách đo giữa 2 anten để đảm bảo điều kiện trường xa là:

Với khoảng cách đo của phòng là 3m ( ), áp dụng các công thức (1), (2), (3) và tài liệu tham khảo [3] ta có điều kiện về kích thước và bước sóng của các anten:
Từ (4), (5), (6) ta có giới hạn về kích thước và dải tần đo của AUT là:

Trong đó: D tính theo (m) và f tính theo (MHz)
IV. Cấu hình đo giản đồ bức xạ của anten
Sơ đồ đo

Mô tả
- AUT được dùng làm anten thu được kết nối với máy phân tích phổ (Agilent E4440A) và đặt tại tâm bàn xoay.
- Anten đo kiểm là anten đã được hiệu chuẩn và được dùng làm anten phát, kết nối với máy phát (Agilent N5183A dải tần từ 100 kHz – 20 GHz).
- Mỗi một phép đo được thực hiện 2 lần để đo giản đồ bức xạ của anten theo phương thẳng đứng và phương nằm ngang.
- Bàn xoay quay 360 độ để AUT thu lại mức tín hiệu mà anten đo kiểm phát ra theo các hướng khác nhau.
- Sử dụng phần mềm đo để thu được giản đồ bức xạ của anten cả về hình vẽ (2D) và dữ liệu để phân tích.
Từ giản đồ bức xạ của anten ta có thể xác định được các đặc tính phát xạ của anten như hướng tính, tỷ số front-to-back (f/b ratio), độ rộng búp sóng nửa công suất (half-power beamwidth) của anten theo phương ngang và phương thẳng đứng... từ dữ liệu đo được.
V. Một số kết quả thực tế đo giản đồ bức xạ của anten
- Kết quả đo anten
Nhóm nghiên cứu đã tiến hành đo kiểm một số loại anten trên thực tế: Anten loga chu kỳ, anten lưỡng cực nửa sóng (dipole) và các anten loa (horn). Kết quả đo tương đồng với dữ liệu do nhà sản xuất công bố cũng như hình dạng lý thuyết giản đồ bức xạ của các anten.


- Đánh giá các yếu tố ảnh hưởng đến kết quả đo
Các yếu tố có thể gây ảnh hưởng đến kết quả đo bao gồm: ảnh hưởng của phòng đo do các phản xạ (không triệt tiêu hết) từ sàn, tường hoặc trần phòng đo, ảnh hưởng tương hỗ giữa các anten chuẩn và AUT. Do phép đo giản đồ bức xạ anten là phép đo kết quả tương đối mức phát theo hướng bức xạ, chính vì vậy độ chính xác đặt mức phát, mức thu, cáp, suy hao không ảnh hưởng nhiều đến kết quả phép đo.
Một trong những nguyên nhân khác ảnh hưởng đến kết quả đo là AUT đặt lệch tâm bàn xoay, khi đó sai số về mức thu lớn nhất là giữa 2 điểm đối xứng nhau trên giản đồ bức xạ. Ngoài ra, các yếu tố khác như lệch phân cực giữa các anten, lệch độ cao, độ chính xác tham số antenna factor (AF) của anten chuẩn cũng ảnh hưởng đến kết quả đo kiểm.
Mức công suất phát cần đủ lớn để bù các suy hao đường truyền, đảm bảo máy thu phải thu được tín hiệu tại cả các điểm không (null) trên giản đồ bức xạ của các anten. Mức phát trong các bải đo kiểm thử trong báo cáo này ở mức +10 dBm.
VI. Kết luận
Báo cáo đã đề xuất phương án sử dụng phòng đo EMC 3m để đo giản đồ bức xạ của anten bằng cách đặt các vật liệu hấp thụ tại các vị trí nhất định trên mặt sàn để tạo môi trường đo kiểm như phòng đo không dội.
NSA
Thực hiện kiểm tra tính hợp lệ của phòng đo bằng cách đo kiểm và đánh giá các thông số của phòng đo theo các tiêu chuẩn quốc tế. Kết quả cho thấy với cách thiết lập được đề xuất, phòng đo có thể sử dụng để đo giản đồ bức xạ anten.
Báo cáo đã đề xuất việc xác định các giới hạn về tần số và kích thước của anten được đo kiểm để đáp ứng yêu cầu đo kiểm trong miền trường xa. Ngoài ra, báo cáo còn bao gồm phép khảo sát để xác định không gian đo kiểm tối ưu đối với phòng đo EMC 3m, là đối tương được sử dụng để nghiên cứu ở trong báo cáo này.
Một số mẫu anten đã được sử dụng để đo giản đồ bức xạ, kết quả đo tương đồng với dữ liệu do nhà sản xuất công bố cũng như hình dạng lý thuyết giản đồ bức xạ của các anten. Một số yếu tố gây ảnh hưởng đến kết quả đo cũng được đề cập ở phần cuối của báo cáo.
Tuy nhiên, với khoảng cách đo giới hạn là 3m, phòng đo chỉ đáp ứng được điêu kiện đo giản đồ bức xạ của các anten kích thước tương đối nhỏ. Nghiên cứu này cũng là tiền đề để đánh giá khả năng đo giản đồ bức xạ của anten của những phòng đo có kích thước lớn hơn.
Tài liệu tham khảo
[1] “Multi-Purpose Anechoic Chambers - EMC (SAR/FAR) to Antenna Measurements”, Martin A.K. Wiles B.Sc.(Hons), M.Sc., Dipl. Ing. Alexander Kriz
[2] “Antenna Theory and Design”, Warren L. Stutzman and Gary A. Thiele
[3] “The Far Field: How far is far enough?”, Rajeev Bansal
[4] “ANCI C63.4-2003 American National Standard for Methods of Measurement of Radio-Noise Emissions from Low-Voltagem Electrical and Electronic Equipment in the Range of 9 kHz to 40 GHz”
[5] “ETSI TS 102 321 v1.1.1 (2004-05) Electromagnetic compatibility and Radio spectrum Matters (ERM);Normalized Site Attenuation (NSA) and validationof a fully lined anechoic chamber up to 40 GHz”
[6] “IEEE Std 149-1979 Test Procedure for Antennas”
[7] “CISPR 16-1-1:2010: Specification for radio disturbance and immunity measuring apparatus and methods – Part 1-1: Radio disturbance and immunity measuring apparatus – Measuring apparatus”.